Table des matières
Qu’est-ce qu’une moyenne mobile exponentielle (EMA) ?
La moyenne mobile exponentielle (EMA) est un indicateur qui suit le prix… mais de façon intelligente: elle pondère davantage les prix récents. Résultat: elle réagit plus vite que la SMA (moyenne mobile simple) aux changements de tendance.
- Si le marché “bruite”, l’EMA courte peut sur‑réagir; une EMA plus longue lisse davantage.
- Si le prix accélère, l’EMA le capte rapidement.
Les périodes d’EMA les plus utilisées (et quand s’en servir)
- EMA 10/12: très réactive. Idéale pour le court terme et le momentum.
- EMA 20: repère de tendance court/moyen terme.
- EMA 50: tendance intermédiaire. Sert souvent de support/résistance dynamique.
- EMA 100/200: tendance de fond. Les cassures/croisements sont souvent majeurs.
Règle simple: plus la période n est grande, plus c’est lissé (et lent) ; plus n est petit, plus c’est réactif (et potentiellement “bruyant”)
EMA vs SMA: la différence en 10 secondes
- Pondération: l’EMA met plus de poids sur le récent; la SMA pèse tout également.
- Réactivité: l’EMA capte plus vite les retournements; la SMA filtre davantage.
- Usage: EMA pour momentum/breakouts; SMA pour tendance plus stable.
Comment calculer une EMA (sans douleur)
Avant tout: la plupart des plateformes (ex. TradingView, Interactive Brokers) calculent l’EMA automatiquement. Pas besoin de faire les maths chaque jour. Mais comprendre la formule EMA aide à bien choisir la période et lire les signaux.
- Démarrer avec une SMA sur n périodes
- Sert d’EMA initiale.
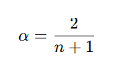
- Calculer la constante de lissage α
- α = 2/(n+1)
- Appliquer la formule EMA
- EMA_t = α × Prix_t + (1−α) × EMA_{t−1}
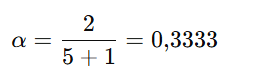
Exemple simple (n = 5)
- Données: 21, 23, 19, 25, 17, 20
- SMA_5 = 21,00 → sert d’EMA précédente
- α = 2/(5+1) = 0,3333
- EMA_6 = (20 − 21) × 0,3333 + 21 = 20,67
Astuce: gardez 4 décimales pendant le calcul, puis affichez 2 décimales.
Comment trader avec les EMA (méthodes simples)
- Supports/Résistances dynamiques
- En tendance haussière, le prix “rebondit” souvent sur l’EMA 20/50 → support.
- En tendance baissière, ces mêmes EMAs jouent le rôle de résistance.
- Une clôture claire au‑dessus/en‑dessous peut signaler un changement.
- Croisements d’EMA (classique mais efficace en tendance)
- Signal haussier: EMA courte (ex. 20) qui passe au‑dessus de l’EMA longue (ex. 50).
- Signal baissier: EMA 20 qui repasse sous l’EMA 50.
Bonnes pratiques:- Confirmez avec volumes, structure de marché, RSI/MACD.
- Évitez les marchés range (plus de faux signaux).
- Backtestez vos paires (ex. 9/21, 10/20, 20/50) selon l’actif.
- Multi‑unités de temps
- Vous tradez en H1 ? Vérifiez la tendance en H4 ou Daily (D1).
- Si H4/D1 sont alignés avec votre signal en H1, c’est souvent plus robuste.
- Gestion du risque (indispensable)
- Placez un stop‑loss (ex. sous l’EMA de référence ou le dernier creux).
- Définissez un objectif de gain et un ratio rendement/risque ≥ 2:1.
- En options, ajustez le prix de levée comme protection.
Limites et erreurs fréquentes
- Marchés sans tendance: attention aux faux signaux (croisements qui “clignotent”).
- Tout miser sur un seul indicateur: combinez EMA + prix + volumes + volatilité.
- Paramètres figés: adaptez n à l’actif (actions, forex, crypto) et au style (day, swing, position).
Exemple visuel (plateforme Interactive Brokers)
Cette capture d’écran montre plusieurs moyennes mobiles exponentielles (ex. EMA 8/21/50/200). Les EMAs 8 et 21 sont rapides et suivent le prix de près; les EMAs 50 et 200 lissent la tendance de fond. Observez les rebonds (supports/résistances dynamiques) et les croisements pour le timing.

Glossaire rapide
- SMA: Simple Moving Average (moyenne mobile simple).
- EMA: Exponential Moving Average (moyenne mobile exponentielle).
- Période (n): nombre de bougies utilisées.
- α (alpha): 2/(n+1), la constante de lissage.
FAQ — Moyenne mobile exponentielle (EMA)
Quelle période d’EMA choisir pour le day trading ?
Beaucoup de traders utilisent des EMAs 9, 12 ou 20 pour capter le momentum court terme, souvent confirmées par une EMA plus longue (50) pour la tendance de fond.
EMA ou SMA: laquelle est la meilleure ?
Aucune n’est “meilleure” en toutes circonstances. L’EMA réagit plus vite (utile en momentum), la SMA filtre plus (utile en tendance plus stable). Testez selon votre actif et horizon.
Les croisements d’EMAs fonctionnent‑ils sur tous les marchés ?
Ils fonctionnent mieux en tendance. En range, les faux signaux augmentent. Combinez les EMAs avec niveaux de prix, volume et contextes multi‑unités de temps.
Peut‑on utiliser l’EMA en crypto et en forex ?
Oui. Les principes restent identiques; ajustez simplement les périodes aux caractéristiques de volatilité de l’actif et à votre style (intraday vs swing).
Quelle différence entre EMA et WMA (Weighted Moving Average) ?
La WMA applique des poids linéaires décroissants; l’EMA utilise un lissage exponentiel. Les deux sur‑pondèrent le récent, mais l’EMA a une dynamique de lissage différente.

